Нова ТТН 2026: коли вперше застосовувати
Підпишіться на Telegram-канал Головбух Бюджет. Новини! Тримаємо руку на пульсі усіх змін без паніки та зайвої води

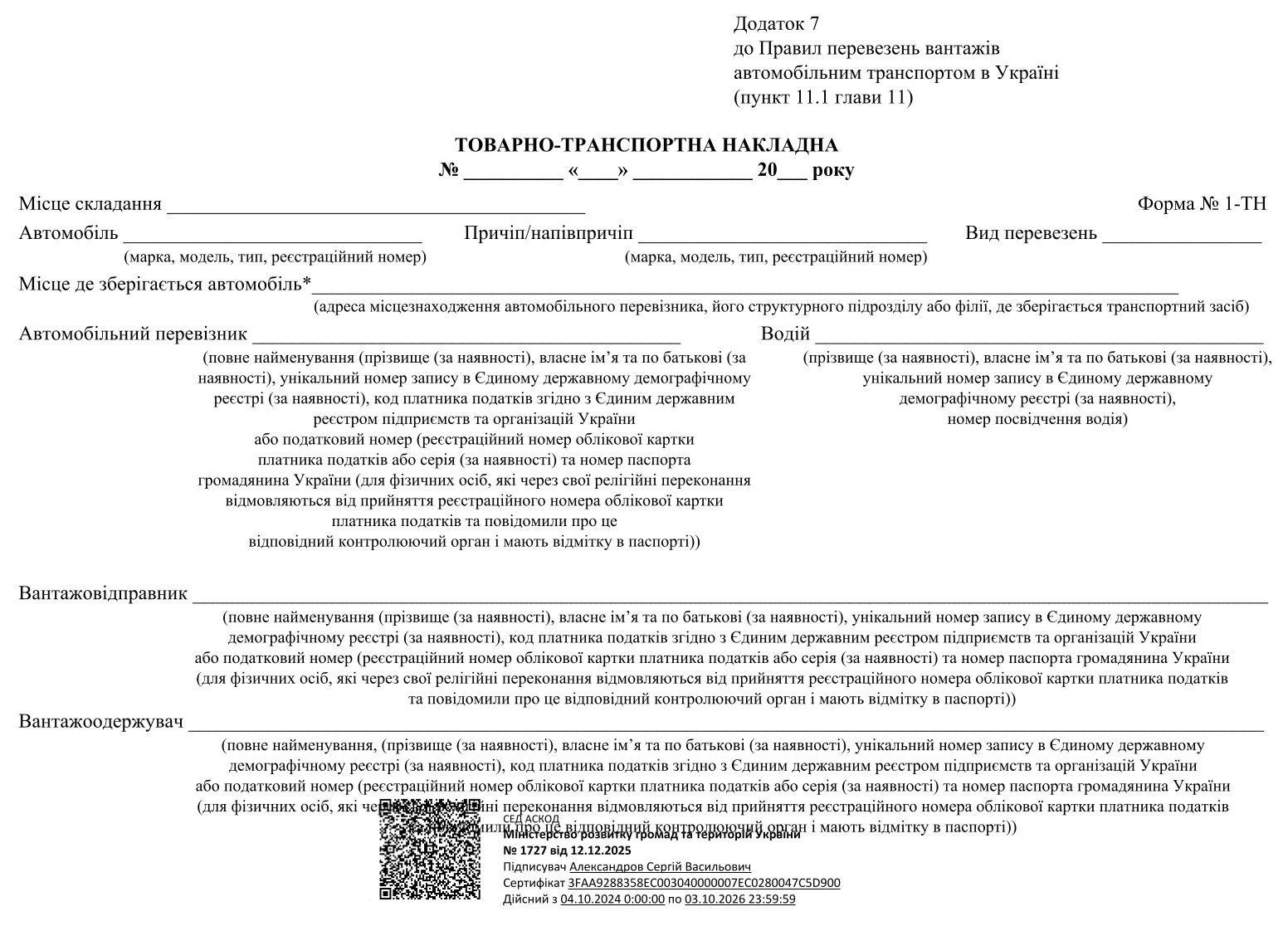
Мінрозвитку наказом «Про внесення змін до деяких нормативно-правових актів Міністерства транспорту та зв’язку України та Міністерства транспорту України спрямованих на виконання Угоди про асоціацію між Україною, з однієї сторони, та Європейським Союзом, Європейським Співтовариством з атомної енергії і їхніми державами — членами, з іншої сторони в частині врегулювання організації робочого часу та відпочинку у галузі автомобільного транспорту в Україні» від 12.12.2025 № 1727 (далі — наказ № 1727) затвердило оновлену форму ТТН.
Кого з працівників з інвалідністю не враховувати до нормативу
Наказ № 1727 передбачає внесення змін у додаток 7 до Правил перевезень вантажів автомобільним транспортом в Україні, затверджених наказом Міністерства транспорту України від 14.10.1997 № 363, виклавши його у новій редакції, що додається (форма № 1-ТН).
Наказ № 1727 опублікували в «Офіційному віснику України» від 26.01.2026 № 7. Він набере чинності 26.07.2026.



