Екологічний податок 2025: ставки і строки
Платники екологічного податку 2025
Екологічний податок (далі — екоподаток) за викиди в атмосферне повітря та за розміщення відходів зобов’язані сплачувати усі юридичні особи, якщо їхня діяльність призводить до:
- викидів шкідливих речовин у повітря, у тому числі вуглекислого газу (СО2);
- скидів шкідливих речовин до річок, ставків, озер, каналів, водосховищ, моря чи підземних вод;
- розміщення відходів, у тому числі автомобільних шин, різного роду акумуляторів, люмінесцентних ламп тощо (виняток — відходи використовуються як сировина або укладені договори на вивезення відходів з комунальними або спеціалізованими підприємствами з зазначенням строків такого вивезення, ІПК ДФС від 13.09.2019 р. № 175/6/99-00-04-04-03-15/ІПК);
- утворення радіоактивних відходів, їхнє тимчасове зберігання понад строк, встановлений особливими умовами ліцензії.
Як підтверджувати добові з 12.10.2025🧐
Увага: слід перевірити строк дії договорів на вивезення відходів, якщо на території установи зберігаються автомобільні шини, акумулятори чи люмінесцентні чи інші ртутовмісні лампи.
Платники екологічного податку — це також і бюджетні установи, якщо їхня діяльність шкодить природному середовищу, оскільки це один із загальнодержавних податків. Як правило, бюджетники сплачують за:
- викиди шкідливих речовин у повітря внаслідок експлуатації нерухомих агрегатів, установок, генераторів (виняток — електрогенератори в умовах воєнного стану), мініелектростанцій, котелень, що використовують паливо. Найчастіше бюджетні установи сплачують екоподаток за експлуатацію котельні (викиди СО2);
- скиди шкідливих речовин у водойми чи водотоки;
- розміщення відходів, якщо відсутні договори на вивезення. Якщо відходи розміщують як вторинну сировину, вони не є об’єктом оподаткування.
Увага: 500 тонн (на рік) — це ліміт викиду СО2, в межах якого екологічний податок не сплачується.
Ставки екологічного податку 2025
Ставки екоподатку за викиди в атмосферне повітря та за розміщення відходів залежать від виду компоненту, речовини, яка забруднює повітря, водотоки чи водойми. Наведемо ці ставки окремо за забруднення повітря, водойм, розміщення відходів. Так як бюджетні установи не утворюють і не зберігають радіоактивні відходи, то ставки податку для цих відходів не розглядатимуться.
Екологічний податок за забруднення повітря і води
Екоподаток обчислюють за Податковим кодексом України (далі — ПКУ). Його ставка залежить від кількості шкідливої речовини (у тоннах), яка потрапляє у повітря, водотоки чи водойми. Також слід враховувати:
- до якого класу небезпечності належить шкідлива речовина;
- безпечний рівень концентрації шкідливої речовини в повітрі, установлений у населеному пункті;
- гранично допустиму концентрацію цієї речовини у воді.
З 01 січня 2022 року змін у ставках екоподатку за забруднення повітря й води не було. Поточні ставки екоподатку залежно від виду шкідливої речовини наведені у таблиці нижче.
СТАВКИ ЕКОЛОГІЧНОГО ПОДАТКУ 2025 (залежно від виду шкідливої речовини) | ||
Шкідлива речовина | Ставка податку, грн/т: | |
за викиди у повітря | за скиди до водойм чи водотоків | |
азоту оксиди | 2574,43 | – |
азот амонійний у воді | – | 7730,30 |
аміак у повітрі | 482,84 | – |
ангідрид сірчистий | 2574,43 | – |
ацетон | 965,67 | – |
бенз(о)пірен у повітрі | 3 277 278,63 | – |
бутилацетат | 579,84 | – |
ванадію п’ятиокис | 9656,78 | – |
водень хлористий | 96,99 | – |
вуглецю окис | 96,99 | – |
вуглецю двоокис (він же — діоксид вуглецю, парниковий газ або СО2, п. 243.4 ПКУ) | 30,00 | – |
вуглеводні | 145,50 | – |
газоподібні фтористі сполуки | 6373,91 | – |
завислі у воді речовини | – | 221,71 |
кадмію сполуки в повітрі | 20376,22 | – |
марганець і його сполуки | 20376,22 | – |
нафтопродукти у воді | – | 45475,44 |
нікель і його сполуки у повітрі | 103816,62 | – |
нітрати у воді | – | 665,14 |
нітрити | – | 37966,90 |
озон у повітрі | 2574,43 | – |
органічні речовини у воді (за показниками біохімічного споживання кисню (БСК) 5), з обсягу яких визначають екоподаток | – | 3094,08 |
ртуть у повітрі і її сполуки | 109127,84 | – |
свинець і його сполуки | 109127,84 | – |
сірководень у повітрі | 8273,63 | – |
сірковуглець | 5376,59 | – |
спирт н-бутиловий | 2574,43 | – |
стирол у повітрі | 18799,08 | – |
сульфати у воді | – | 221,71 |
тверді речовини у повітрі | 96,99 | – |
фенол | 11685,10 | – |
формальдегід | 6373,91 | – |
фосфати у воді | – | 6178,46 |
хлориди | – | 221,71 |
хром і його сполуки у повітрі | 69113,38 | – |
У таблиці нижче наведемо ставки екоподатку для інших шкідливих речовин, за якими встановлено клас небезпечності й які потрапляють у атмосферне повітря через стаціонарні джерела забруднення. З 2022 року дані ставки екоподатку не змінювалися.
СТАВКИ ЕКОЛОГІЧНОГО ПОДАТКУ 2025 (залежно від класу небезпечної речовини, п. 243.2 ПКУ) | ||
Шкідливі речовини | Клас небезпечності | Ставка податку, грн/т |
усі речовини, що належать до небезпечних, але не наведені у таблиці зі ставками екоподатку за видами шкідливих речовин | I | 18413,24 |
II | 4216,92 | |
III | 628,32 | |
IV | 145,5 | |
Ставки за шкідливими речовинами, які не увійшли до попередніх таблиць, слід розмежовувати за:
- установленим у містах, селищах чи селах орієнтовно безпечним рівнем впливу речовини в повітрі;
- гранично допустимою концентрацією шкідливої речовини у воді або орієнтовно безпечним рівнем її впливу.
Ці ставки наведемо у таблиці нижче. З 2025 року застосовується базова ставка екоподатку за скиди до водойм чи водотоків (у 2024 року діяли ставки у розмірів 90% від базових, п. 37 підрозд. 5 Перехідних положень ПКУ).
СТАВКИ ЕКОЛОГІЧНОГО ПОДАТКУ 2025 (у залежності від нормативів) | |||
Орієнтовно безпечний рівень впливу речовин у повітрі, мг/м3 | Гранично допустима концентрація речовини у воді або її орієнтовно безпечний рівень впливу, мг/л | Ставка податку, грн/т: | |
за викиди у повітря | за скиди до водойм чи водотоків* | ||
0,0001–0,001 | 775097,25 | 1349948,0 | |
66410,35 | |||
0,001–0,01 | 9173,92 | 978777,84 | |
0,01–0,1 | 2574,43 | ||
0,1–1,0 | 96,99 | 168741,52 | |
1,0–10,0 | 17173,04 | ||
> 10,0 | 3437,76 | ||
* якщо шкідливі речовини потрапляють до ставків чи озер, то ставки за їхні скиди збільшуються на коефіцієнт 1,5 (п. 245.4 ПКУ) | |||
Ще є ставки екоподатку за скиди у водні об’єкти окремих забруднюючих речовин, які наведено у таблиці нижче. З 2025 року застосовується базова ставка екоподатку за скиди окремих забруднюючих речовин у водні об’єкти (у 2024 року діяли ставки у розмірів 90% від базових, п. 37 підрозд. 5 Перехідних положень ПКУ).
СТАВКИ ЕКОЛОГІЧНОГО ПОДАТКУ 2025 (за скиди окремих забруднюючих речовин у водні об’єкти, ст. 245.1 ПКУ) | |
Забруднююча речовина | Ставка податку, грн за 1т |
азот амонійний | 12883,84 |
органічні речовини (за показниками біохімічного споживання кисню (БСК 5) | 5156,8 |
завислі речовини | 369,52 |
нафтопродукти | 75792,4 |
нітрати | 1108,56 |
нітрити | 63278,16 |
сульфати | 369,52 |
фосфати | 10297,44 |
хлориди | 369,52 |
Екологічний податок за розміщення відходів
Скільки доведеться сплатити за розміщення відходів залежно від їхньої небезпечності, покажемо в таблиці нижче. З 01 січня 2022 року змін у ставках екоподатку за забруднення повітря й води не було.
СТАВКИ ЕКОЛОГІЧНОГО ПОДАТКУ 2025 (за розміщення відходів, ст. 246 ПКУ) | |||
Вид відходів | Клас небезпечності | Ставка податку | |
грн/т | грн/одиницю | ||
відходи, які:
| І | 1546,22 | — |
приладдя, що містить ртуть або елементи, які мають іонізуюче випромінювання | — | 952,02 | |
люмінесцентні лампи | — | 16,57 | |
| ІІ | 56,32 | — |
| ІІІ | 14,12 | — |
| IV | 5,50 | — |
| — | 0,54 | — |
відходи без класу небезпеки (п. 246.3 ПКУ) | — | 1546,22 | — |
Ставки з таблиці вище слід збільшити на коефіцієнт 3, якщо відходи розміщуються:
- на звалищах і вони продовжують забруднювати повітря атмосфери чи водойми та водотоки;
- у межах міста, селища чи села або на відстані меншій ніж 3 км від них.
Як бути у жовтні, листопаді та грудні? Що нас очікує в 2026 році?
Також ще є екоподаток за тимчасове зберігання радіоактивних відходів, ставки якого наведено у таблиці нижче. З 01 січня 2022 року змін у ставках екоподатку за забруднення повітря й води не було.
СТАВКИ ЕКОЛОГІЧНОГО ПОДАТКУ 2025 ЗА ТИМЧАСОВЕ ЗБЕРІГАННЯ РАДІОАКТИВНИХ ВІДХОДІВ ЇХНІМИ ВИРОБНИКАМИ ПОНАД УСТАНОВЛЕНИЙ ОСОБЛИВИМИ УМОВАМИ ЛІЦЕНЗІЇ СТРОК | ||
Категорія відходів | Ставки екоподатку (ст. 248 ПКУ): | |
за тимчасове зберігання радіоактивних відходів, грн за 1 м3 | за тимчасове зберігання радіоактивних відходів, представлених як джерела іонізуючого випромінювання, грн за 1 см3 | |
високоактивні | 632539,66 | 21084,66 |
середньоактивні та низькоактивні | 11807,4 | 4216,92 |
Екологічний податок — розрахунок 2025
Щокварталу екоподаток обчислює бюджетна установа самостійно за формулами, які наведені у пп. 249.3-249.6 ПКУ для кожного виду забруднення чи виду шкідливої речовини. Дані формули, по-суті, «вбудовані» у податкову декларацію з екоподатку.
Безоплатна передача основних засобів проводки⏬ скачати
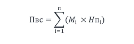
Так, суми податку, який справляється за викиди в атмосферне повітря забруднюючих речовин стаціонарними джерелами забруднення (Пвс), обчислюються виходячи з фактичних обсягів викидів, ставок податку за формулою:

де
- Мi — фактичний обсяг викиду i-тої забруднюючої речовини в тоннах (т);
- Нпi — ставки податку в поточному році за тонну i-тої забруднюючої речовини у грн з копійками.
При розрахунку можна скористатися роз’ясненням Держстату «Щодо розрахунку обсягів викидів забруднюючих речовин в атмосферне повітря від стаціонарних джерел забруднення для заповнення форми № 2-ТП (повітря) (річна) «Звіт про охорону атмосферного повітря».
Наприклад, розрахунок найбільш поширеного забруднення повітря — викидом СО2 при спаленні 550 т вугілля у опалювальному котлі матиме вигляд:
- фактичний (валовий) обсяг викиду СО2 = 0,000001× 93740,0 г/ГДж × 550 т × 20,47 МДж/кг ≈ 1055,372 т;
- екоподаток за викид СО2 = 1055,372 т × 30 грн/т = 31661,16 грн.
У даному розрахунку використано такі значення параметрів:
- 0,000001 — це те саме, що «10-6» з оригінальної формули вищезгаданого роз’яснення Держстату до форми № 2-ТП, перевідний коефіцієнт;
- 93740,0 г/ГДж — це показник емісії СО2 для вугілля;
- 20,47 МДж/кг — це нижча робоча теплота згоряння вугілля;
- 30 грн/т — ставка екоподатку за викиду в атмосферне повітря СО2.
Необхідні фізичні показники (емісії, теплоти згоряння) слід брати з Інвентаризації викидів, яка здійснюється при отриманні дозволу на котел чи інше джерело забруднення. Якщо дозвіл не отримувався — з технічного паспорту котла.
Для двигунів внутрішнього згорання викиди рахуються за дещо іншою формулою фактичного (валового) обсягу викиду. Так, для прикладу, розрахунок викиду двоокису вуглецю (СО2) при спаленні 200 л бензину матиме вигляд:
- переведення бензину з літрів в тонни: 0,001 × 200 л × 0,74 кг/м3 = 0,148 т;
- фактичний (валовий) обсяг викиду СО2 = 0,001× 0,148 т × 3183 кг/т ≈ 0,471 т;
- екоподаток за викиди СО2 = 0,471 т × 30 грн/т = 14,13 грн.
У даному розрахунку параметри мають такі значення:
- 0,001 — перевідний коефіцієнт;
- 0,74 кг/м3 — густина бензину;
- 3183 кг/т — усереднений питомий викид парникового газу для бензину.
Суми податку, який справляється за скиди забруднюючих речовин у водні об’єкти (Пс), обчислюються щокварталу виходячи з фактичних обсягів скидів, ставок податку та коригуючих коефіцієнтів за формулою:

де
- Млi — обсяг скиду i-тої забруднюючої речовини в тоннах (т);
- Нпi — ставки податку в поточному році за тонну i-того виду забруднюючої речовини у гривнях з копійками;
- Кос — коефіцієнт, що дорівнює 1,5 і застосовується у разі скидання забруднюючих речовин у ставки і озера (в іншому випадку коефіцієнт дорівнює 1).
Суми податку, який справляється за розміщення відходів (Прв), обчислюються виходячи з фактичних обсягів розміщення відходів, ставок податку та коригуючих коефіцієнтів за формулою:

де
- Нпi — ставки податку в поточному році за тонну i-того виду відходів у гривнях з копійками;
- Млi — обсяг відходів i-того виду в тоннах (т);
- Кт — коригуючий коефіцієнт, який враховує розташування місця розміщення відходів і який наведено у п. 246.5 ПКУ;
- Ко — коригуючий коефіцієнт, що дорівнює 3 і застосовується у разі розміщення відходів на звалищах, які не забезпечують повного виключення забруднення атмосферного повітря або водних об’єктів.
Винятки, які діють щодо екологічного податку в умовах воєнного стану
В умовах воєнного стану щодо екоподатку є деякі винятки. Так, екоподаток не сплачується:
- за об’єктами оподаткування, що розташовані на територіях бойових дій. Це стосується і тих територій, де велися бойові дії, а також територій, які тимчасово окуповані росією. Таке звільнення тимчасове та діє з 01 січня 2022 року по 31 грудня року, в якому буде припинено або скасовано воєнний стан (див. п. 69.16 підрозд. 10 Перехідних положень ПКУ). Є Перелік територій, на яких ведуться (велися) бойові дії або тимчасово окупованих Російською Федерацією, затверджений наказом Мінреінтеграції від 22.12.2022 р. № 309;
- при використанні електрогенераторів. За загальним правилом електрогенератори — це стаціонарні джерела забруднення, а тому екоподаток з них сплачується (пп. 242.1.1 ПКУ). Однак щодо установок з кодом УКТ ЗЕД 8502 зроблено тимчасовий виняток — на період під час воєнного стану та 30 днів після його скасування такі установки не вважаються стаціонарними джерелами забруднення (див. п. 46 підрозд. 5 Перехідних положень ПКУ). Код УКТ ЗЕД 8502 — це електрогенераторнi установки та обертові електричні перетворювачі.
Первинні документи: що перевірять ревізори
Екологічний податок — строки сплати й звітування
Установа після закінчення кварталу звітує до органів ДПС. Для цього призначена податкова декларація екоподатку. Її форму затвердив Мінфін наказом від 17.08.2015 р. № 715. Зараз діє форма у редакції наказу Мінфіну від 07.09.2023 р. № 488. Бланк декларації для ознайомлення наведений нижче.
Екологічний податок: розподіл між бюджетами
Після того як платіж зараховано на відповідний спецрахунок, відкритий в органі Казначейства, екоподаток розподіляють між загальним і спеціальним фондами державного бюджету та спеціальним фондом місцевих бюджетів. Такий розподіл здійснює орган Казначейства, а не установа. Аби зрозуміти, який бюджет наповнюватиме цей податок і в якому обсязі, наведемо пропорції його розподілу за Бюджетним кодексом України наведено у таблиці нижче.
ПРОПОРЦІЇ РОЗПОДІЛУ ЕКОЛОГІЧНОГО ПОДАТКУ МІЖ БЮДЖЕТАМИ | |||||
Види забруднень, за які сплачується екоподаток | Бюджет, до якого зараховують частину податку (%) | ||||
місцеві бюджети, у т.ч. | державний | ||||
сільський, селищний, міський, об’єднаної територіальної громади | обласний | м. Київ, м. Севастополь | загальний фонд | спецфонд | |
| 25 | 30 | 55 | 45 | – |
скиди до водойм чи водотоків | |||||
розміщення відходів | |||||
| – | – | – | – | 100 |
Екоподаток за вуглекислий газ (СО2)
Нарахування і сплата екоподатку за вуглекислий газ, який найбільш поширений для бюджетних установ, має низку особливостей:
- згаданий уже ліміт 500 тонн (п. 240.7 ПКУ). Він застосовується один на всі джерела забруднення, а не на кожне джерело окремо. Виходить, що якщо є 2 котельні з викидами по 300 тонн, то уже є перевищення ліміту на 100 тонн (= 2×300 — 500);
- у декларації для забруднення CO2 виділяють окремий Додаток 1. Якщо є ще забруднювачі повітря, то вони будуть в інших Додатках 1. Вуглекислий газ — у спеціально виділеному на нього Додатку 1 і одразу за всіма джерелами забруднення. Перелік таких джерел забруднення наводиться списком у доповненнях до декларації;
- сплачувати екоподаток на вуглекислий газ треба окремо від екоподатку за інші забруднювачі. Це пов’язано з різними кодами бюджетної класифікації: 19011000 — за вуглекислий газ, 19010100 — за інші забруднення. Якщо все сплатити на загальний рахунок з екоподатку, то у податковій можуть вважати, що екоподаток за СО2 не був сплачений;
- якщо котельня здана в оренду, то сплачувати екоподаток має орендар;
- якщо установа очікує менше викиду СО2, ніж 500 тонн, то декларацію подавати не треба. Однак, попередньо треба написати до ДПС заяву про відсутність об’єкта обчислення екоподатку(є роз’яснення ДПС в Одеській області). У заяві (форма — довільна) слід навести розрахунок викидів і обґрунтувати, що вони менші за 500 тонн на рік;
- якщо у певному кварталі ліміт 500 тонн не досягнуто, то декларацію подати слід, хоча податок і не сплачується. У Додатку 1 слід навести обсяги викидів, а розрахунок екоподатку залишити порожнім. Також так слід зробити у випадку, якщо вчасно не була подана згадана заява про відсутність об’єкта обчислення екоподатку.

